Отвердитель-это химический состав, ускоряющий отверждение реакционноспособных смол.
Отвердители используются для отверждения жидких олигомеров с небольшим количеством функциональных групп. После смешения отвердителя и основы между собой необратимо формируется сшитый, неплавкий и нерастворимый материал.
Изменяя количество отвердителя можно регулировать степень твердости готового материала.
По механизму функционирования различают:
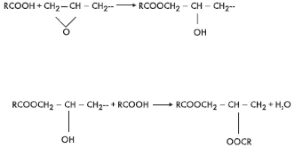
Вещества-отвердители. Молекулы веществ-отвердителей вступают в реакцию с функциональными группами смол и встраиваются в структуру формирующегося полимера (рис.-1)
Рис-1. Взаимодействие кислоты с эпоксидной группой.
Катализаторы отверждения - укоряют реакцию отверждения, не участвуя в создании трехмерной сетки. По окончании отверждения катализатор остается в готовом полимере и оказывает воздействие на окончательные физико-механические свойства материала.
Инициаторы отверждения. При введении в ненасыщенные смолы распадаются с образованием радикалов, которые вызывают отверждение материала. Преимуществом применения инициаторов в том, что они позволяют снизить температуру отверждения смол до 20 0С
В некоторых случаях процесс отверждение происходит по нескольким механизмам. Например,
отверждение эпоксидной смолы фталевым ангидридом в присутствии катализатора
третичного амина